728x90
신경망 공부를 하게 되면 여러가지 표기법을 접하게 됩니다.
다음은 간단한 신경망을 표시한 것입니다.
(1) 우선 입력 a, b,c 로 입력 변수가 3개 있습니다.
(2) 입력된 a,b,c 에 가중치가 적용됩니다. Wa, Wb, Wc
(3) 입력된 값의 (가중) 합계를 구합니다. Σ 입력값 X 가중치
X = a Wa + b Wb + c Wc
회귀분석의 경우와 비슷한 형태입니다.
(4) 입력된 값의 합계(가중합계)에 시그모이드 함수를 적용합니다.
로지스틱 회귀분석의 경우와 비슷한 형태를 가집니다.
(5) 시그모이드 함수의 결과가 출력(y) 가 됩니다.
여러 시그모이드 함수 중에서 로지스틱함수가 가장 많이 사용됩니다.

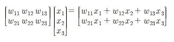
이번에는 두 개의 출력이 있는 경우를 설명합니다.
입력변수가 X1, X2, X3 으로 세 개 있고 출력이 Y1, Y2 두 개가 있는 경우입니다.

여기에서 눈여겨 봐야 할 부분이 가중치(W)입니다.
W13 는 입력변수가 1이고 출력변수가 3 인 경우가 아니고
출력변수가 1이고 입력변수가 3인 경우를 의미합니다.
그리하여
W31 은 출력변수가 3이고 입력변수가 1인 것을 의미합니다.
참조: 책에 따라서는 W12가 입력변수가 1이고, 출력변수가 2인 것으로 표기하는 경우가 있습니다

이를 행렬식으로 표현하면 다음과 같습니다.

'머신러닝 > 10. 딥러닝' 카테고리의 다른 글
| (R3)제09강_02 소프트맥스(softmax) (0) | 2021.05.21 |
|---|---|
| (P1)제01강(01)딥러닝 역사 - 수정 보완... (0) | 2020.09.27 |